
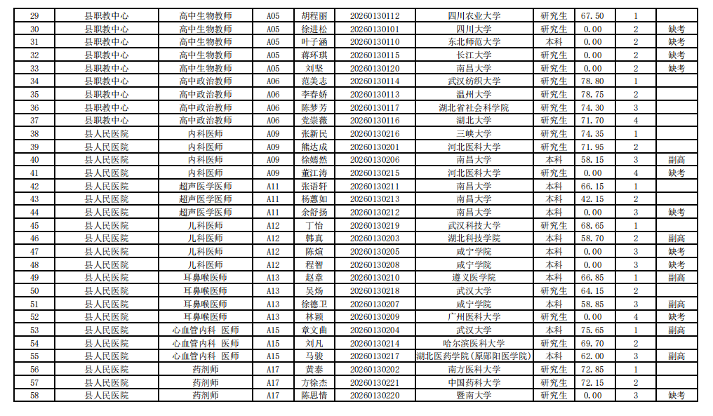
根据《通山县2026年高层次紧缺专业人才引进公告》规定,现将通山县2026年高层次紧缺专业人才引进参加笔试人员成绩予以公示(笔试成绩表见附件1)。公示期为5个工作日,如有疑议请在2026年3月17日17:30前到中共通山县委组织部8010室反映情况。
笔试结束后将进行资格复审,请各位考生保持通讯工具畅通,做好参加资格复审准备。
联系电话:0715-2881998
附件:1.《通山县2026年高层次紧缺专业人才引进笔试成绩表》
2.资格复审资料清单
中共通山县委组织部
通山县人力资源和社会保障局
2026年3月10日



(编辑:张媛 二审:徐唐生 终审:阮班新)
